Chi phí thẩm duyệt PCCC là khoản bắt buộc trong quá trình xây dựng, cải tạo hoặc vận hành công trình, nhằm đảm bảo tuân thủ quy định về an toàn cháy nổ. Khoản chi này không chỉ mang tính pháp lý mà còn là đầu tư cần thiết để bảo vệ con người và tài sản. Mức phí được quy định tại Thông tư 258/2016/TT-BTC của Bộ Tài chính.
Cách Tính Chi Phí Thẩm Duyệt PCCC Theo Quy Định Hiện Hành
Căn cứ theo Thông tư số 258/2016/TT-BTC ngày 11/11/2016 của Bộ Tài chính, quy định về mức thu, chế độ thu, nộp, quản lý và sử dụng phí thẩm định thiết kế về phòng cháy và chữa cháy, chi phí thẩm duyệt PCCC được tính theo công thức:
Chi phí thẩm duyệt PCCC = Tổng mức đầu tư dự án được phê duyệt × Tỷ lệ tính phí
Trong đó:
- Tổng mức đầu tư của dự án được xác định theo quy định tại Nghị định 32/2015/NĐ-CP về quản lý chi phí đầu tư xây dựng, sau khi loại trừ các khoản chi cho bồi thường giải phóng mặt bằng, tái định cư và chi phí sử dụng đất.
- Tỷ lệ tính phí được căn cứ theo Biểu mức tỷ lệ do Bộ Tài chính ban hành kèm theo Thông tư 258/2016/TT-BTC và có sự khác biệt tùy thuộc vào loại hình dự án hoặc công trình.
Ví dụ minh họa:
- Tổng mức đầu tư phê duyệt: 15 tỷ đồng
- Loại dự án: Dự án dân dụng
- Tỷ lệ tính phí: 0,967%
→ Chi phí thẩm duyệt PCCC = 15 tỷ đồng × 0,967% = 145.050.000 đồng
Lưu ý: Mức phí trên chỉ áp dụng cho các công trình xây mới. Đối với công trình cải tạo hoặc thay đổi công năng, chi phí thẩm duyệt PCCC sẽ được tính toán dựa trên tổng giá trị đầu tư phần cải tạo theo công thức riêng biệt.
Tỷ Lệ Áp Dụng Tính Chi Phí Thẩm Duyệt PCCC Đối Với Từng Loại Hình
Tỷ lệ tính phí thẩm duyệt thiết kế PCCC là căn cứ quan trọng để xác định mức chi phí cần nộp theo đúng quy định pháp luật hiện hành. Các mức tỷ lệ này được quy định rõ trong Biểu mức tỷ lệ tính phí, ban hành kèm theo Thông tư số 258/2016/TT-BTC của Bộ Tài chính, cụ thể như sau:
Xem Thêm: Tiêu Chuẩn Phòng Cháy Chữa Cháy Văn Phòng Bạn Cần Biết
Chi Phí Thẩm Duyệt PCCC Đối Với Công Trình, Dự Án Đầu Tư Xây Dựng
Tỷ lệ tính chi phí thẩm duyệt PCCC mới nhất đối với dự án, công trình được quy định cụ thể như sau:
| Loại công trình | Tổng mức đầu tư | ||||||
| 15 tỷ đồng | 100 tỷ đồng | 500 tỷ đồng | 1000 tỷ đồng | 5000 tỷ đồng | >10000 tỷ đồng | ||
| Tỷ lệ tính phí (%) | Dự án, công trình hạ tầng kỹ thuật, công trình giao thông | 0,00671 | 0,00363 | 0,00202 | 0,00135 | 0,00075 | 0,00050 |
| Dự án, công trình dầu khí, năng lượng, hoá chất | 0,01328 | 0,00718 | 0,00399 | 0,00266 | 0,00148 | 0,00099 | |
| Dự án, công trình dân dụng, công nghệp khác | 0,00967 | 0,00523 | 0,00291 | 0,00194 | 0,00108 | 0,00072 | |
| Dự án, công trình khác | 0,00888 | 0,00480 | 0,00267 | 0,00178 | 0,00099 | 0,00066 | |
Ghi chú:
Danh mục dự án, công trình thuộc Mục 1, 2, 3 Biểu mức này được xác định theo quy định tại Phụ lục 1 ban hành kèm theo Nghị định 06/2021/NĐ-CP.
Trường hợp dự án, công trình nằm ngoài danh mục trên thì được xác định theo Mục 4 của Biểu mức này.
Chi Phí Thẩm Duyệt PCCC Cho Phương Tiện Giao Thông Cơ Giới
Đối với phương tiện giao thông cơ giới, việc thẩm duyệt thiết kế phòng cháy chữa cháy là yêu cầu bắt buộc nhằm bảo đảm an toàn về cháy nổ trong suốt quá trình khai thác và sử dụng. Mức tỷ lệ áp dụng để tính chi phí thẩm duyệt PCCC cho nhóm phương tiện này được quy định cụ thể như sau:
| Loại công trình | Tổng mức đầu tư | |||||
| 5 tỷ đồng | 50 tỷ đồng | 100 tỷ đồng | 500 tỷ đồng | >1000 tỷ đồng | ||
| Tỷ lệ tính phí (%) | Tàu hoả | 0,01214 | 0,00639 | 0,00426 | 0,00237 | 0,00158 |
| Tàu thuỷ | 0,02430 | 0,01279 | 0,00853 | 0,00474 | 0,00316 | |
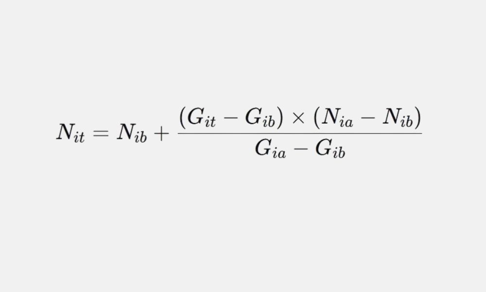
Lưu ý: Trường hợp tổng mức đầu tư của dự án không trùng khớp với các mức giá trị cụ thể trong Biểu mức tỷ lệ kèm theo Thông tư 258/2016/TT-BTC, tỷ lệ tính chi phí thẩm duyệt PCCC sẽ được xác định theo công thức nội suy sau:

Trong đó:
- Nit: Là tỷ lệ tính phí của dự án thứ i theo quy mô giá trị cần tính (%).
- Git: Là giá trị tổng mức đầu tư của dự án thứ i cần xác định chi phí thẩm duyệt (tỷ đồng).
- Gia: Là giá trị tổng mức đầu tư cận trên giá trị tổng mức đầu tư của dự án cần tính phí thẩm duyệt (tỷ đồng).
- Gib: Là giá trị tổng mức đầu tư cận dưới giá trị tổng mức đầu tư của dự án cần tính phí thẩm duyệt (tỷ đồng).
- Nia: Là tỷ lệ tính phí của dự án thứ i tương ứng Gia (%).
- Nib: Là tỷ lệ tính phí của dự án thứ i tương ứng Gib (%).
Xem Thêm: Cập Nhật Hồ Sơ, Thủ Tục & Quy Trình Thẩm Duyệt Thiết Kế PCCC
Mức Phí Tối Thiểu Và Tối Đa Trong CHi Phí Thẩm Duyệt PCCC
Theo Khoản 3 Điều 5 Thông tư 258/2016/TT-BTC, chi phí thẩm duyệt PCCC cho mỗi dự án được giới hạn trong mức:
- Tối thiểu: 500.000 đồng/dự án
- Tối đa: 150.000.000 đồng/dự án
Quy định này nhằm đảm bảo chi phí tối thiểu đủ để phục vụ công tác kiểm tra, đồng thời kiểm soát mức trần, tránh phát sinh gánh nặng tài chính không cần thiết cho chủ đầu tư.
Thời Điểm Bắt Buộc Nộp Chi Phí Thẩm Duyệt PCCC
Chi phí thẩm duyệt PCCC được thu một lần tại thời điểm nộp hồ sơ đề nghị thẩm duyệt thiết kế. Do đó, tổ chức, cá nhân cần tính toán trước mức phí và ghi rõ trong hồ sơ. Sau khi tiếp nhận, cơ quan chức năng sẽ cấp biên nhận và chứng từ thu phí theo quy định. Việc quản lý, thu – nộp và sử dụng lệ phí thuộc trách nhiệm của Cơ quan Cảnh sát phòng cháy chữa cháy.

Các Bước Thực Hiện Thủ Tục Nộp Chi Phí Thẩm Duyệt PCCC Mới Nhất
Dưới đây là trình tự các bước nộp chi phí thẩm duyệt PCCC mới nhất theo quy định của pháp luật:
Bước 1: Chuẩn Bị Đầy Đủ Hồ Sơ Theo Yêu Cầu
Trước tiên, chủ đầu tư cần chuẩn bị một bộ hồ sơ đề nghị thẩm duyệt thiết kế phòng cháy chữa cháy đầy đủ theo quy định, bao gồm:
- Đơn đề nghị thẩm duyệt PCCC: Thể hiện thông tin chi tiết về dự án, chủ đầu tư hoặc người đại diện pháp lý theo quy định;
- Hồ sơ thiết kế PCCC: Gồm bản vẽ tổng thể hệ thống phòng cháy chữa cháy, bản vẽ kỹ thuật chi tiết, danh mục thiết bị và vật liệu sử dụng, cùng các tài liệu kỹ thuật liên quan khác.
Bước 2: Nộp Hồ Sơ Đến Cơ Quan Có Thẩm Quyền
Hồ sơ đề nghị thẩm duyệt thiết kế PCCC có thể được nộp theo hai phương thức sau:
- Cách 1: Nộp hồ sơ trực tiếp tại cơ quan có thẩm quyền thẩm duyệt PCCC, thường là cơ quan quản lý PCCC cấp tỉnh hoặc cơ quan PCCC thuộc Sở Xây dựng.
- Cách 2: Nộp hồ sơ qua đường bưu điện, gửi trực tiếp đến văn phòng của cơ quan có thẩm quyền thẩm duyệt PCCC.

Bước 3: Cơ Quan Chức Năng Kiểm Tra, Xác Minh Hồ Sơ
Cơ quan thẩm duyệt PCCC có trách nhiệm tiếp nhận hồ sơ từ người nộp, sau đó tiến hành kiểm tra, xem xét và đánh giá tính hợp lệ của hồ sơ theo các quy định pháp lý về PCCC và các quy định khác có liên quan.
Bước 4: Nhận Kết Quả Thẩm Duyệt PCCC
Sau khi kiểm tra hồ sơ, cơ quan thẩm duyệt PCCC sẽ thông báo kết quả cho người nộp.
Nếu hồ sơ đầy đủ và hợp lệ, cơ quan thẩm duyệt sẽ xác nhận và thông báo chấp nhận kết quả thẩm duyệt PCCC. Nếu hồ sơ chưa hợp lệ, cơ quan thẩm duyệt có trách nhiệm thông báo cho người nộp về các nội dung cần chỉnh sửa hoặc bổ sung.

Bước 5: Thực Hiện Nghĩa Vụ Tài Chính – Nộp Chi Phí Thẩm Duyệt PCCC
Người nộp hồ sơ tiến hành thanh toán chi phí thẩm duyệt thiết kế PCCC theo quy định của cơ quan có thẩm quyền. Sau khi thanh toán, người nộp phí sẽ nhận được giấy biên nhận hoặc chứng từ chứng minh đã hoàn tất việc thanh toán.
Việc tuân thủ các bước trên đây giúp đảm bảo việc nộp phí thẩm duyệt PCCC được thực hiện đúng quy định, từ đó đảm bảo tính hợp lệ và hiệu quả của hệ thống phòng cháy chữa cháy trong công trình.
Đơn Vị Có Thẩm Quyền Thu Và Quản Lý Chi Phí Thẩm Duyệt PCCC
Theo quy định tại Khoản 12 Điều 13 Nghị định 136/2020/NĐ-CP (sửa đổi, bổ sung bởi Nghị định 50/2024/NĐ-CP), cơ quan có thẩm quyền thẩm duyệt thiết kế PCCC được phân chia như sau:
Cục Cảnh sát phòng cháy, chữa cháy và cứu nạn, cứu hộ có thẩm quyền thẩm duyệt thiết kế PCCC đối với:
- Dự án, công trình quan trọng quốc gia, dự án nhóm A.
- Công trình có chiều cao trên 100m.
- Công trình xây dựng trên địa bàn từ 2 tỉnh/thành phố trực thuộc trung ương trở lên.
- Phương tiện đường thủy có chiều dài từ 50m trở lên.
- Dự án do Phòng Cảnh sát PCCC và cứu nạn, cứu hộ cấp tỉnh đề nghị.
Phòng Cảnh sát phòng cháy, chữa cháy và cứu nạn, cứu hộ Công an cấp tỉnh có thẩm quyền thẩm duyệt thiết kế PCCC đối với:
- Đồ án quy hoạch đô thị, khu kinh tế, khu công nghiệp, cụm công nghiệp, khu chế xuất, khu công nghệ cao,… trên địa bàn quản lý.
- Dự án, công trình trên địa bàn quản lý không thuộc thẩm quyền của Cục Cảnh sát PCCC.
- Những trường hợp do Cục Cảnh sát PCCC ủy quyền.
- Phương tiện giao thông cơ giới đặc biệt đảm bảo an toàn PCCC trên địa bàn không thuộc thẩm quyền của Cục Cảnh sát PCCC.
Thời Hạn Giải Quyết Hồ Sơ Và Hoàn Tất Chi Phí Thẩm Duyệt PCCC
Căn cứ theo Khoản 10 Điều 13 Nghị định 136/2020/NĐ-CP (sửa đổi, bổ sung bởi Nghị định 50/2024/NĐ-CP), thời gian thẩm duyệt thiết kế PCCC được tính kể từ ngày cơ quan quản lý nhà nước nhận đủ hồ sơ hợp lệ. Cụ thể như sau:
- Đồ án quy hoạch xây dựng: Không quá 05 ngày làm việc.
- Chấp thuận địa điểm xây dựng công trình: Không quá 05 ngày làm việc.
- Thiết kế cơ sở: Không quá 05 ngày làm việc.
Dự án quan trọng quốc gia, dự án nhóm A: Không quá 10 ngày làm việc.
Các dự án khác: Không quá 05 ngày làm việc.
- Thiết kế kỹ thuật hoặc thiết kế bản vẽ thi công:
Dự án, công trình quan trọng quốc gia, dự án nhóm A: Không quá 15 ngày làm việc.
Các dự án, công trình khác: Không quá 10 ngày làm việc.
- Thiết kế kỹ thuật phương tiện giao thông cơ giới có yêu cầu đặc biệt về bảo đảm an toàn PCCC: Không quá 10 ngày làm việc.

Do đó, thời gian thẩm duyệt PCCC sẽ tùy thuộc vào loại hình và quy mô của dự án, công trình.
Hệ Lụy Khi Không Thực Hiện Nghĩa Vụ Nộp Chi Phí Thẩm Duyệt PCCC Đúng Quy Định
Việc nộp phí thẩm duyệt PCCC không chỉ là nghĩa vụ pháp lý mà còn là yếu tố thiết yếu để đảm bảo an toàn cho các công trình, dự án. Tuy nhiên, nhiều cá nhân và tổ chức chưa tuân thủ đúng quy định, dẫn đến các hậu quả nghiêm trọng:
- Hồ sơ thiết kế PCCC không được thẩm duyệt: Nếu không nộp phí thẩm duyệt, hồ sơ thiết kế sẽ không được xem xét, làm gián đoạn quá trình thi công và gây chậm trễ, tăng chi phí tổng thể của dự án.
- Rủi ro pháp lý: Việc không nộp phí thẩm duyệt có thể vi phạm pháp luật, dẫn đến bị xử phạt tài chính và có thể yêu cầu sửa đổi thiết kế, phát sinh chi phí không lường trước.
- Phát sinh chi phí: Nếu không nộp phí đúng hạn, dự án có thể gặp phải các chi phí bổ sung như phí xử lý hồ sơ, sửa chữa thiết kế hoặc yêu cầu tái thẩm duyệt, kéo dài thời gian hoàn thành và tốn kém thêm.
- Rủi ro an toàn: Việc không thực hiện nghĩa vụ nộp phí thẩm duyệt có thể dẫn đến thiết kế công trình không đáp ứng các tiêu chuẩn an toàn về PCCC, gây nguy cơ cháy nổ, ảnh hưởng đến tính mạng, tài sản và gây thiệt hại lớn.
Intercons – Đồng Hành Cùng Doanh Nghiệp Trong Thẩm Duyệt PCCC
Intercons không chỉ là đơn vị thiết kế và thi công đáng tin cậy, mà còn là đối tác hỗ trợ doanh nghiệp trong việc tính toán và thực hiện chi phí thẩm duyệt PCCC một cách chính xác, minh bạch. Với hiểu biết chuyên sâu về quy định pháp lý và quy trình thẩm duyệt, Intercons cam kết đồng hành cùng khách hàng đảm bảo tiến độ dự án, tuân thủ quy định và nâng cao tiêu chuẩn an toàn cho công trình.
Liên Hệ INTERCONS:
Nếu bạn quan tâm về dịch vụ thiết kế và thi công nội thất văn phòng, vui lòng liên hệ với chúng tôi qua:
- Website: intercons.com.vn
- Email: Intercons@interconstruction.vn
- Điện thoại: 093 182 27 27 – Mr Bảo
- Địa chỉ: 50/63 Lê Thị Hồng, Phường 17, Quận Gò Vấp, TP.HCM
Kết luận
Nộp đầy đủ và đúng hạn chi phí thẩm duyệt PCCC không chỉ đảm bảo tuân thủ pháp lý mà còn bảo vệ an toàn công trình và cộng đồng. Chủ đầu tư cần chủ động thực hiện nghĩa vụ này để tránh rủi ro không mong muốn. Intercons hỗ trợ doanh nghiệp tối ưu quy trình và đảm bảo tuân thủ quy định PCCC, bảo vệ lợi ích lâu dài cho mọi dự án.
